Nathan Bock
Ads provide web developers the support to continue providing their services. If our ads are of annoyance, please provide recommendations to help us improve.
Nathan Bock
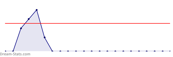
| Round | Opponent | Weekly Mark | Cumulative Mark | Competition Rank | Weekly Change |
|---|---|---|---|---|---|
| 1 - 2 | - | - | - | - | |
| 3 | ESS | 5 | 5 | 361st | - |
| 4 | BRL | 7 | 12 | 239th | ▲122 |
| 5 | NTH | 9 | 21 | 128th | ▲111 |
| 6 | FRE | 3 | 24 | 146th | ▼18 |
| 7 | - | - | 24 | 202nd | ▼56 |
| 8 | - | - | 24 | 249th | ▼47 |
| 9 | - | - | 24 | 282nd | ▼33 |
| 10 | - | - | 24 | 305th | ▼23 |
| 11 | - | - | 24 | 317th | ▼12 |
| 12 | - | - | 24 | 338th | ▼21 |
| 13 | - | - | 24 | 352nd | ▼14 |
| 14 | - | - | 24 | 373rd | ▼21 |
| 15 | - | - | 24 | 389th | ▼16 |
| 16 | - | - | 24 | 414th | ▼25 |
| 17 | - | - | 24 | 420th | ▼6 |
| 18 | - | - | 24 | 429th | ▼9 |
| 19 | - | - | 24 | 438th | ▼9 |
| 20 | - | - | 24 | 448th | ▼10 |
| 21 | - | - | 24 | 456th | ▼8 |
| 22 | - | - | 24 | 461st | ▼5 |
| 23 | - | - | 24 | 467th | ▼6 |
Ads provide web developers the support to continue providing their services. If our ads are of annoyance, please provide recommendations to help us improve.